02-09-2019
Szukamy właściciela psa, potrąconego przez samochód koło Bobowicka
W piątek, 30 sierpnia, przy drodze przed miejscowością Bobowicko znaleziono potrąconego czarnego pieska z metalową obrożą typu kolczatka. Właściciela prosimy o kontakt z Urzędem Miejskim: tel. 95 742 69 85, kom. 511 199 924.
02-09-2019

Informacja PKP
Informacja PKP Polskie Linie Kolejowe Zakład Linii Kolejowych w Zielonej Górze o rozpoczęciu procedury likwidacyjnej przejazdów kolejowych na linii Zbąszynek-Gorzów Wlkp.
02-09-2019
Szukamy opiekunów dla bezpańskiej suczki
W Kuligowie błąka się bezpańska suczka. Osoby pragnące przygarnąć czworonoga proszone są o kontakt z Urzędem Miejskim w Międzyrzeczu: tel. 95 742 69 85, kom. 511 199 924.
02-09-2019
Konkurs Najpiękniejsza Wieś
Rusza dziesiąta jubileuszowa edycja konkursu „Najpiękniejsza Wieś Lubuska 2019”. Do wzięcia udziału w konkursie zapraszamy sołectwa z terenu województwa lubuskiego. Konkurs ma inspirować mieszkańców wsi województwa lubuskiego i upowszechniać najlepsze wzorce działania poszczególnych sołectw.
Konkurs „Najpiękniejsza Wieś Lubuska” odbywa się od 2010 r. Tegoroczna edycja jest jubileuszową. Celem konkursu jest identyfikacja i analiza możliwych do przeniesienia dobrych praktyk w zakresie rozwoju obszarów wiejskich oraz przekazywanie tych informacji. Wybierając zwycięskie miejscowości jury bardzo dużą uwagę zwraca na społeczne zaangażowanie miejscowej ludności w życie i codzienność wsi. Komisja chce docenić kultywowanie tradycji oraz szeroko rozumiany rozwój miejscowości, przekazywanie wartości i obyczajów. Ważnym aspektem w ocenianiu jest również stwarzanie przestrzeni do realizacji nowych pomysłów, które jednoczą mieszkańców zarówno starszego, jak i młodszego pokolenia. O szczegółach mówili dziś Arkadiusz Dąbrowski – dyrektor Departamentu PROW oraz Edward Jednoszewski, prezes Lubuskiego Stowarzyszenia Sołtysów.
Termin składania zgłoszeń od 26 sierpnia do 13 września 2019 roku (decyduje data wpływu). Ocena formalna zgłoszeń przez Komisję Konkursową oraz wizytacja w wybranych 10 miejscowościach - od 16 września do 5 października 2019 roku. Planowany termin podsumowania konkursu – początek października 2019 roku.
Termin składania zgłoszeń od 26 sierpnia do 13 września 2019 roku (decyduje data wpływu). Ocena formalna zgłoszeń przez Komisję Konkursową oraz wizytacja w wybranych 10 miejscowościach - od 16 września do 5 października 2019 roku. Planowany termin podsumowania konkursu – początek października 2019 roku.
Tegoroczne nagrody i wyróżnienia
|
Miejsce
|
Wysokość nagrody
|
|
I
|
15 000 zł
|
|
II
|
12 000 zł
|
|
III
|
10 000 zł
|
|
IV
|
5 000 zł
|
|
V
|
3 000 zł
|
|
VI - X
|
1 000 zł – tytułem wyróżnienia
|
1 edycja - Rok 2010:
I miejsce - Sołectwo WYSZANOWO
II miejsce - Sołectwo LIPINY
III miejsce - Sołectwo ŁUPOWO
przyznano również 2 wyróżnienia dla wsi: OSIECZNICA oraz JANCZEWO
2 edycja - Rok 2011:
Konkurs rozegrał się w dwóch kategoriach:
I) Najpiękniejsza Wieś Lubuska,
II) Najlepszy Projekt Odnowy Wsi w województwie lubuskim.
I kategoria: I miejsce - Sołectwo Podmokle Małe
II miejsce - Sołectwo - Tarnów
III miejsce - Sołectwo - Gostchorze
II kategoria: I miejsce - Lipinki Łużyckie
II miejsce - Pszczew
III miejsce - Gorzyca
3 edycja - Rok 2012:
I miejsce - Sołectwo Mirostowice Dolne
II miejsce - Sołectwo Czarnowo
III miejsce - Sołectwo Dąbrówka Wielkopolska
4 edycja - Rok 2013:
I miejsce - Lubno, Gmina Lubiszyn
II miejsce - Biedrzychowice, Gmina Żary
III miejsce - Przytok, Gmina Zabór
Konkurs rozgrywał się w jednej kategorii.
Przyznano również 2 wyróżnienia dla miejscowości Wężyska, Gmina Krosno Odrzańskie oraz dla miejscowości Zatonie, Gmina Zielona Góra.
5 edycja - Rok 2014:
I miejsce - Złotnik, Gmina Żary
II miejsce - Białcz, Gmina Witnica
III miejsce - Bukowica, Gmina Niegosławice
Konkurs rozgrywał się w jednej kategorii.
6 edycja - Rok 2015:
I miejsce - Nowiny Wielkie -Gmina Witnica
II miejsce Dąbrówka Wielkopolska - Gmina Zbąszynek
III miejsce - Dobrosułów - Gmina Bytnica
Przyznano również wyróżnienia dla miejscowości Połęcko - Gmina Ośno Lubuskie, Stary Dworek - Gmina Bledzew, Połupin - Gmina Dąbie, Stoki - Gmina Pszczew
7 edycja - Rok 2016:
I miejsce Jemiołów - Gmina Łagów
II miejsce Trzebicz - Gmina Drezdenko
III miejsce Zdroisko - Gmina Kłodawa
Przyznano również wyróżnienia dla miejscowości: Gościeszowice - Gmina Niegosławice, Lubanice - Gmina Żary
8 edycja - Rok 2017:
I miejsce Santoczno - Gmina Kłodawa
II miejsce ex aequo dla dwóch wsi: Gościm Gmina - Gmina Drezdenko oraz Gołaszyn - Gmina Nowe Miasteczko
III miejsce Kosierz - Gmina Dąbie
Przyznano również wyróżnienia dla miejscowości: Mierzęcin - Gmina Dobiegniew, Sieniawa Żarska - Gmina Żary
9 edycja – rok 2018:
I miejsce: Łaz Gmina Żary,
II miejsce: Cigacice Gmina Sulechów,
III miejsce: Radwanów Gmina Kożuchów
IV miejsce: Osiecznica Gmina Krosno Odrzańskie
V miejsce: Dobrosułów Gmina Bytnica
Przyznano również wyróżnienia dla miejscowości: Dąbrówka Wielkopolska Gmina Zbąszynek, Drzeńsko Gmina Rzepin, Wyszanowo Gmina Międzyrzecz, Ojerzyce - Gmina Szczaniec, Różanki Gmina Kłodawa.
I miejsce - Sołectwo WYSZANOWO
II miejsce - Sołectwo LIPINY
III miejsce - Sołectwo ŁUPOWO
przyznano również 2 wyróżnienia dla wsi: OSIECZNICA oraz JANCZEWO
2 edycja - Rok 2011:
Konkurs rozegrał się w dwóch kategoriach:
I) Najpiękniejsza Wieś Lubuska,
II) Najlepszy Projekt Odnowy Wsi w województwie lubuskim.
I kategoria: I miejsce - Sołectwo Podmokle Małe
II miejsce - Sołectwo - Tarnów
III miejsce - Sołectwo - Gostchorze
II kategoria: I miejsce - Lipinki Łużyckie
II miejsce - Pszczew
III miejsce - Gorzyca
3 edycja - Rok 2012:
I miejsce - Sołectwo Mirostowice Dolne
II miejsce - Sołectwo Czarnowo
III miejsce - Sołectwo Dąbrówka Wielkopolska
4 edycja - Rok 2013:
I miejsce - Lubno, Gmina Lubiszyn
II miejsce - Biedrzychowice, Gmina Żary
III miejsce - Przytok, Gmina Zabór
Konkurs rozgrywał się w jednej kategorii.
Przyznano również 2 wyróżnienia dla miejscowości Wężyska, Gmina Krosno Odrzańskie oraz dla miejscowości Zatonie, Gmina Zielona Góra.
5 edycja - Rok 2014:
I miejsce - Złotnik, Gmina Żary
II miejsce - Białcz, Gmina Witnica
III miejsce - Bukowica, Gmina Niegosławice
Konkurs rozgrywał się w jednej kategorii.
6 edycja - Rok 2015:
I miejsce - Nowiny Wielkie -Gmina Witnica
II miejsce Dąbrówka Wielkopolska - Gmina Zbąszynek
III miejsce - Dobrosułów - Gmina Bytnica
Przyznano również wyróżnienia dla miejscowości Połęcko - Gmina Ośno Lubuskie, Stary Dworek - Gmina Bledzew, Połupin - Gmina Dąbie, Stoki - Gmina Pszczew
7 edycja - Rok 2016:
I miejsce Jemiołów - Gmina Łagów
II miejsce Trzebicz - Gmina Drezdenko
III miejsce Zdroisko - Gmina Kłodawa
Przyznano również wyróżnienia dla miejscowości: Gościeszowice - Gmina Niegosławice, Lubanice - Gmina Żary
8 edycja - Rok 2017:
I miejsce Santoczno - Gmina Kłodawa
II miejsce ex aequo dla dwóch wsi: Gościm Gmina - Gmina Drezdenko oraz Gołaszyn - Gmina Nowe Miasteczko
III miejsce Kosierz - Gmina Dąbie
Przyznano również wyróżnienia dla miejscowości: Mierzęcin - Gmina Dobiegniew, Sieniawa Żarska - Gmina Żary
9 edycja – rok 2018:
I miejsce: Łaz Gmina Żary,
II miejsce: Cigacice Gmina Sulechów,
III miejsce: Radwanów Gmina Kożuchów
IV miejsce: Osiecznica Gmina Krosno Odrzańskie
V miejsce: Dobrosułów Gmina Bytnica
Przyznano również wyróżnienia dla miejscowości: Dąbrówka Wielkopolska Gmina Zbąszynek, Drzeńsko Gmina Rzepin, Wyszanowo Gmina Międzyrzecz, Ojerzyce - Gmina Szczaniec, Różanki Gmina Kłodawa.
Poprzednią dziewiątą edycję konkursu wygrała wieś ŁAZ - gmina Żary.
II miejsce: Cigacice Gmina Sulechów,
III miejsce: Radwanów Gmina Kożuchów
IV miejsce: Osiecznica Gmina Krosno Odrzańskie
V miejsce: Dobrosułów Gmina Bytnica
Przyznano również wyróżnienia dla miejscowości: Dąbrówka Wielkopolska Gmina Zbąszynek, Drzeńsko Gmina Rzepin, Wyszanowo Gmina Międzyrzecz, Ojerzyce - Gmina Szczaniec, Różanki Gmina Kłodawa.
Do pobrania:
II miejsce: Cigacice Gmina Sulechów,
III miejsce: Radwanów Gmina Kożuchów
IV miejsce: Osiecznica Gmina Krosno Odrzańskie
V miejsce: Dobrosułów Gmina Bytnica
Przyznano również wyróżnienia dla miejscowości: Dąbrówka Wielkopolska Gmina Zbąszynek, Drzeńsko Gmina Rzepin, Wyszanowo Gmina Międzyrzecz, Ojerzyce - Gmina Szczaniec, Różanki Gmina Kłodawa.
Do pobrania:
Załącznik nr 1
do Regulaminu Konkursu
Najpiękniejsza Wieś Lubuska 2019 r.
Zgłoszenie do Konkursu
Zgodnie z uchwałą Rady Soleckiej z dnia …………………… zgłaszam do udziału w Konkursie „Najpiękniejsza Wieś Lubuska 2019 roku”:
- wieś .......................................................................
Adres do korespondencji:……………………………..
Osoba upoważniona do kontaktu w sprawach związanych z konkursem:
imię i nazwisko………………………
adres…………………………………
telefon/e-mail:…………………………………
Numer oraz dane konta Gminy, do której należy miejscowość i zostanie przekazana nagroda pieniężna dla wsi – laureata konkursu
…………………………………………………………………………………………………
…………………………………………………………………………………………………
………………………………………..
Akceptacja Wójta Gminy/Burmistrza
Oświadczam, że akceptuję zasady zawarte w Regulaminie Konkursu
……………………………………………………………….
data, podpis sołtysa
Załączniki obowiązkowe (o ile dotyczą)
- uchwała Rady Sołeckiej*
- jeśli wieś zgłasza osoba upoważniona przez sołtysa, należy dołączyć upoważnienie*,
- podpisana klauzula informacyjna.
Departament PROW nie posiada wzoru wymienionych dokumentów, ich sporządzenie leży po stronie sołectwa
Formularz klauzuli informacyjnej dotyczącej zbierania danych osobowych
Wypełniając obowiązek informacyjny wynikający z treści art. 13 i 14 rozporządzenia Parlamentu Europejskiego i Rady (UE) 2016/679 z dnia 27 kwietnia 2016 r. w sprawie ochrony osób fizycznych
w związku z przetwarzaniem danych osobowych i w sprawie swobodnego przepływu takich danych oraz uchylenia dyrektywy 95/46/WE (ogólne rozporządzenie o ochronie danych) (Dz. Urz. UE L 119 z 04.05.2016, str. 1) – dalej jako: RODO uprzejmie informujemy, że:
w związku z przetwarzaniem danych osobowych i w sprawie swobodnego przepływu takich danych oraz uchylenia dyrektywy 95/46/WE (ogólne rozporządzenie o ochronie danych) (Dz. Urz. UE L 119 z 04.05.2016, str. 1) – dalej jako: RODO uprzejmie informujemy, że:
- administratorem Państwa danych osobowych jest Samorząd Województwa Lubuskiego z siedzibą w Zielonej Górze 65-057 przy ul. Podgórnej 7, którego organem wykonawczym jest Zarząd Województwa Lubuskiego.
- na mocy art. 37 ust. 1 lit. a) RODO Administrator (AD) wyznaczył Inspektora Ochrony Danych (IOD). Kontakt z Inspektorem Ochrony Danych – iod~@~lubuskie~.~pl, listownie na adres Urzędu Marszałkowskiego Województwa Lubuskiego, kontakt osobisty w siedzibie Urzędu.;
- Państwa dane osobowe przetwarzane będą na podstawie art. 6 ust. 1 lit. a i c RODO w celu związanym z realizacją zadania polegającego na udziale w przedsięwzięciu pn. „Najpiękniejsza Wieś Lubuska 2019”. Pani/Pana dane osobowe (w tym wizerunek) mogą być wykorzystywane w ramach działalności promocyjnej i informacyjnej dotyczącej wymienionego wyżej zadania.
- odbiorcami Państwa danych osobowych będą osoby lub podmioty, które realizują zadanie związane z udziałem w przedsięwzięciu pn. Konkurs „Najpiękniejsza Wieś Lubuska 2019”, a także mogą być udostępniane innym podmiotom jeżeli obowiązek taki będzie wynikać z przepisów prawa oraz podmiotom przetwarzającym dane osobowe na zlecenie administratora w związku z wykonywaniem powierzonego im zadania w drodze zawartej umowy, np. dostawcom wparcia informatycznego;
- Państwa dane osobowe będą przechowywane do czasu osiągnięcia celu dla jakiego zostały pozyskane, przez okres przewidziany przepisami prawa w tym zakresie w szczególności przez okres przechowywania dokumentacji określony w przepisach i uregulowaniach wewnętrznych w zakresie archiwizacji dokumentów;
- obowiązek podania przez Panią/Pana danych osobowych bezpośrednio Państwa dotyczących jest wymogiem niezbędnym do realizacji przedsięwzięcia pn. Konkurs „Najpiękniejsza Wieś Lubuska 2019”. Podanie danych ma charakter dobrowolny, jednocześnie jest niezbędne do uczestnictwa w ww. projekcie. Konsekwencją niepodania danych osobowych jest brak możliwości uczestnictwa w ww. projekcie.
- w odniesieniu do Państwa danych osobowych decyzje nie będą podejmowane w sposób zautomatyzowany, stosowanie do art. 22 RODO;
- posiada Pani/Pan:
- na podstawie art. 15 RODO prawo dostępu do danych osobowych Pani/Pana dotyczących;
- na podstawie art. 16 RODO prawo do sprostowania Pani/Pana danych osobowych;
- na podstawie art. 18 RODO prawo żądania od administratora ograniczenia przetwarzania danych osobowych z zastrzeżeniem przypadków, o których mowa w art. 18 ust. 2 RODO;
- prawo do wniesienia skargi do Prezesa Urzędu Ochrony Danych Osobowych, gdy uzna Pani/Pan, że przetwarzanie danych osobowych Pani/Pana dotyczących narusza przepisy RODO;
- nie przysługuje Pani/Panu:
- w związku z art. 17 ust. 3 lit. b, d lub e RODO prawo do usunięcia danych osobowych;
- prawo do przenoszenia danych osobowych, o którym mowa w art. 20 RODO;
- na podstawie art. 21 RODO prawo sprzeciwu, wobec przetwarzania danych osobowych, gdyż
podstawą prawną przetwarzania Pani/Pana danych osobowych jest art. 6 ust. 1 lit. c RODO.
Oświadczam, iż zapoznałem się z Formularzem klauzuli informacyjnej dotyczącej zbierania danych osobowych
............................................ ......................................................
(data i miejscowość) (podpis burmistrza / wójta)
…………………..……………………………………
(podpis osoby z sołectwa, będącej osobą do kontaktu z Urzędem)
30-08-2019
Żegnajcie wakacje, witaj szkoło!
Życzenia burmistrza Remigiusza Lorenza dla nauczycieli, pracowników administracyjnych szkół i uczniów z okazji rozpoczęcia nowego roku szkolnego 2019-2020.
30-08-2019

Obchody 80. Rocznicy wybuchu Drugiej Wojny Światowej
Uprzejmie informujemy, iż w niedzielę 1 września, o godz. 12:00 przy pomniku Weteranów II Wojny Światowej odbędą się obchody 80. rocznicy agresji hitlerowskich Niemiec na Polskę i wybuchu II Wojny Światowej.
Urząd Miejski w Międzyrzeczu oraz 17 Wielkopolska Brygada Zmechanizowana zapraszają na obchody wszystkich chcących upamiętnić rocznicę wybuchu najkrwawszej z wojen oraz uczcić pamięć jej ofiar.
Urząd Miejski w Międzyrzeczu oraz 17 Wielkopolska Brygada Zmechanizowana zapraszają na obchody wszystkich chcących upamiętnić rocznicę wybuchu najkrwawszej z wojen oraz uczcić pamięć jej ofiar.
30-08-2019
Badania mammograficzne
W poniedziałek 2 września, przy budynku ratusza w Międzyrzeczu ustawiony będzie Mammobus, w środku którego prowadzone będą bezpłatne badania mammograficzne.
Serdecznie zapraszamy! Szczegóły na plakacie 
28-08-2019
W Międzyrzeczu powstanie żłobek!
Mamy dobrą wiadomość dla rodziców maluszków z Międzyrzecza. Gmina dostała prawie 800 tys. zł na żłobek.
W przyszłym roku w Międzyrzeczu powstanie żłobek dla dzieci do trzeciego roku życia. Utworzenie placówki będzie możliwe dzięki dotacji z Lubuskiego Urzędu Marszałkowskiego. We wtorek, 27 sierpnia, zarząd województwa przyznał gminie na ten cel 787 tys. 953 zł. Jak zaznacza burmistrz Remigiusz Lorenz, całkowity koszt tego zadania wyniesie nieco ponad 927 tys. zł.
– Brakującą część wyłożymy z naszego budżetu – dodaje samorządowiec.
Aż 90 proc. dotacji przeznaczona zostanie na pensje pracowników i wyposażenie żłobka. Pozostałe 10 proc. gmina wyłoży na prace adaptacyjne.
– To nasz pierwszy krok w walce o dotacje na ten cel – zapowiada Remigiusz Lorenz.
W tegorocznym budżecie gmina zabezpieczyła 600 tys. zł na wykupienie od szpitala dawnej przychodni przy ul. Konstytucji 3 Maja, który zamierza zaadoptować na żłobek.
Utworzenie żłobka w Międzyrzeczu jest jednym z 11 projektów dotyczących opieki nad dziećmi w wieku do trzech lat, które zostaną dofinansowane przez władze samorządowe województwa. Zarząd Województwa Lubuskiego przeznaczył na nie łącznie 7 mln. 100 tys. zł. Wniosek złożony przez międzyrzeckie władze został bardzo wysoko oceniony przez ekspertów i znalazł się na czwartym miejscu na tzw. liście rankingowej.
27-08-2019
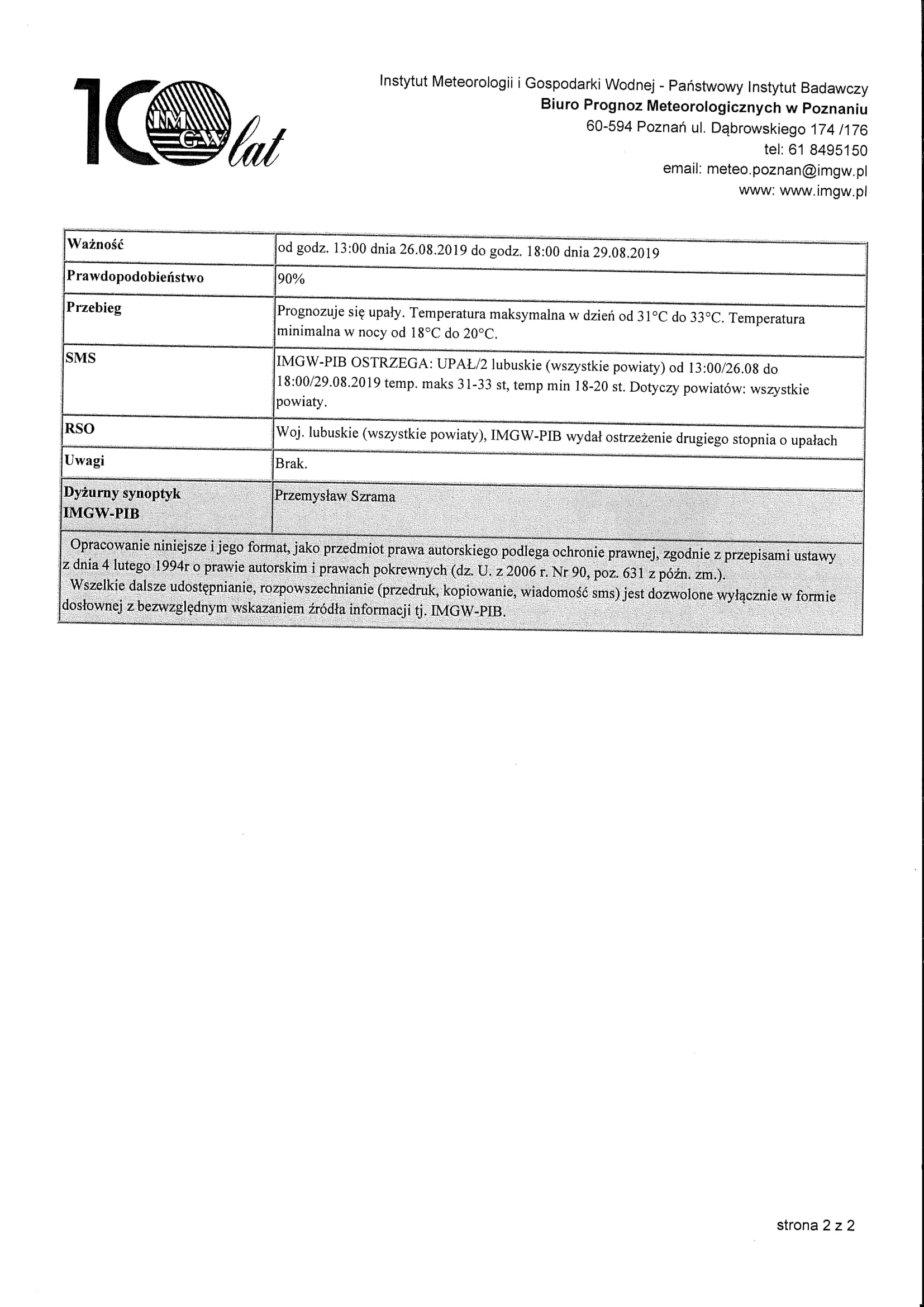
Uwaga Mieszkańcy! IMGW ostrzega przed prawdopodobnym wystąpieniem burz.
Instytut Meteorologii i Gospodarki Wodnej ostrzega przed 80% prawdopodobieństwem wystąpienia burz z opadami deszczu od 20 mm do 30 mm oraz porywami wiatru do 70 km/h (miejscami grad!) dziś od godz. 15:00 do 24:00.
Dodatkowo IMGW ostrzega przed upałem od 26.08 do 29.08. Temperatura maksymalna w dzień 31°C do 33°C.
Szczegóły ostrzeżenia:
26-08-2019
Zaproszenie na Dożynki Gminne w Kalsku
Burmistrz Międzyrzecza, Remigiusz Lorenz oraz Sołtys Kalska, Mariusz Sieratowski, zapraszają na obchody Dożynek Gminnych, które odbędą się 7 września 2019 roku.
W programie imprezy m.in. występy artystyczne, atrakcje dla dzieci, konkurs strzelecki oraz zabawy taneczne.
Wszystkich chętnych serdecznie zapraszamy, wstęp bezpłatny!
Wszystkich chętnych serdecznie zapraszamy, wstęp bezpłatny!
Program obchodów poniżej:
Gmina 











